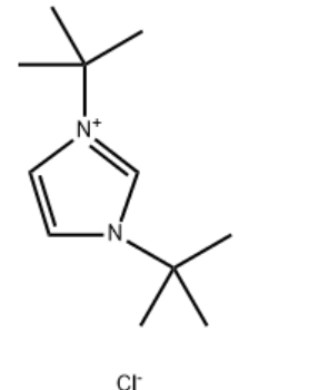
产品采购:1,3-二叔丁基咪唑-2-叉 CAS 157197-53-0
产品名称:1,3-二叔丁基咪唑-2-叉
CAS号:157197-53-0
需求量:1kg,10kg
其他信息:纯度98%min
微信扫描二维码分享此条信息

微信扫码联系采购客服:

其他联系方式:
- 添加香港客服人员微信号:chemwhat
- 添加客服人员的QQ:124032952
- 发邮件到:caigou@chemwhat.xin
关注最新采购信息

- 扫码关注采购公众号
- 采购官网:chemwhat.xin或采购代理官网:watsonnoke.cn,订阅采购邮件
- 大陆采购加速站:chemwhat.cc
- 新浪微博
- 头条号:ChemWhat
